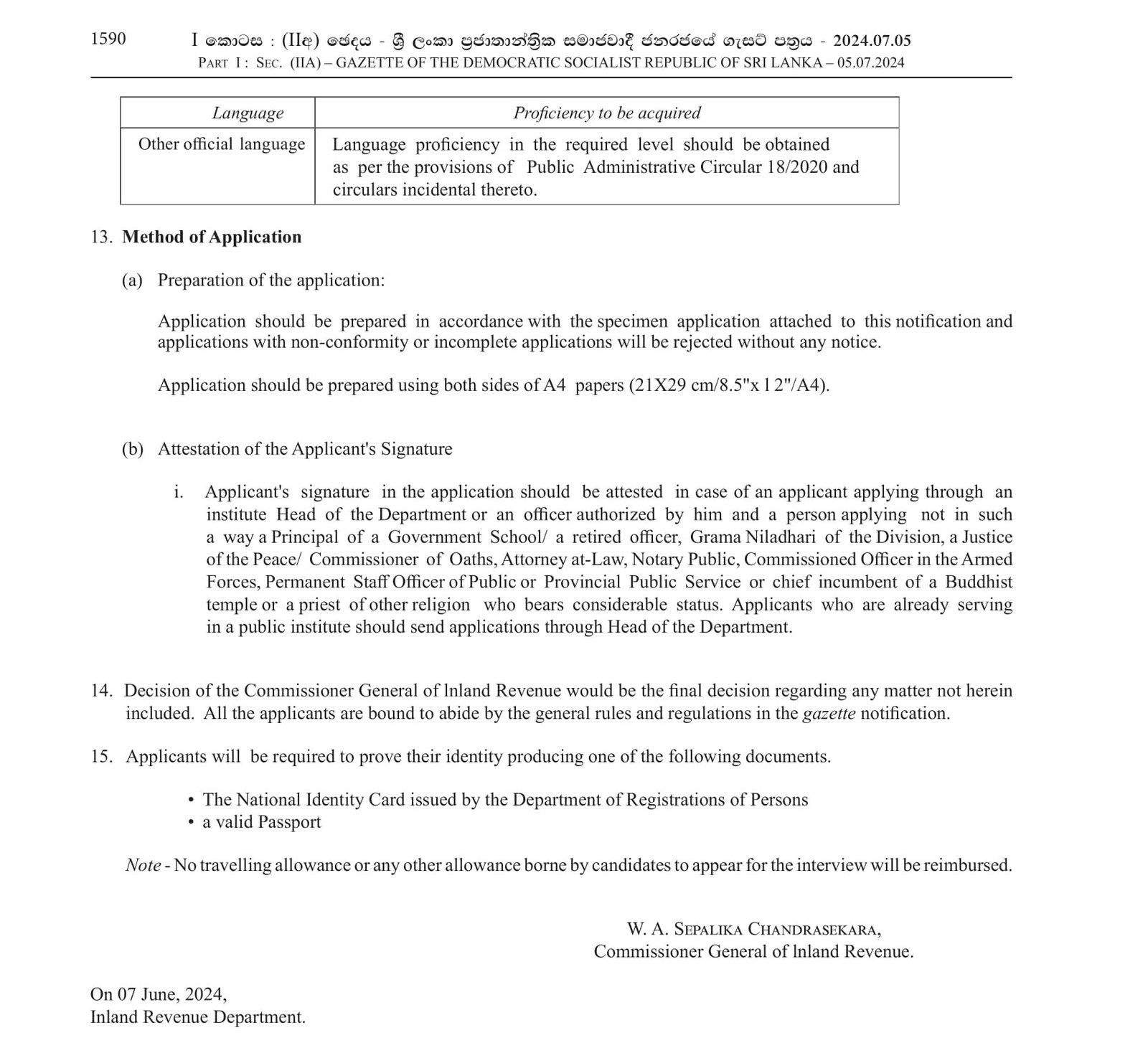
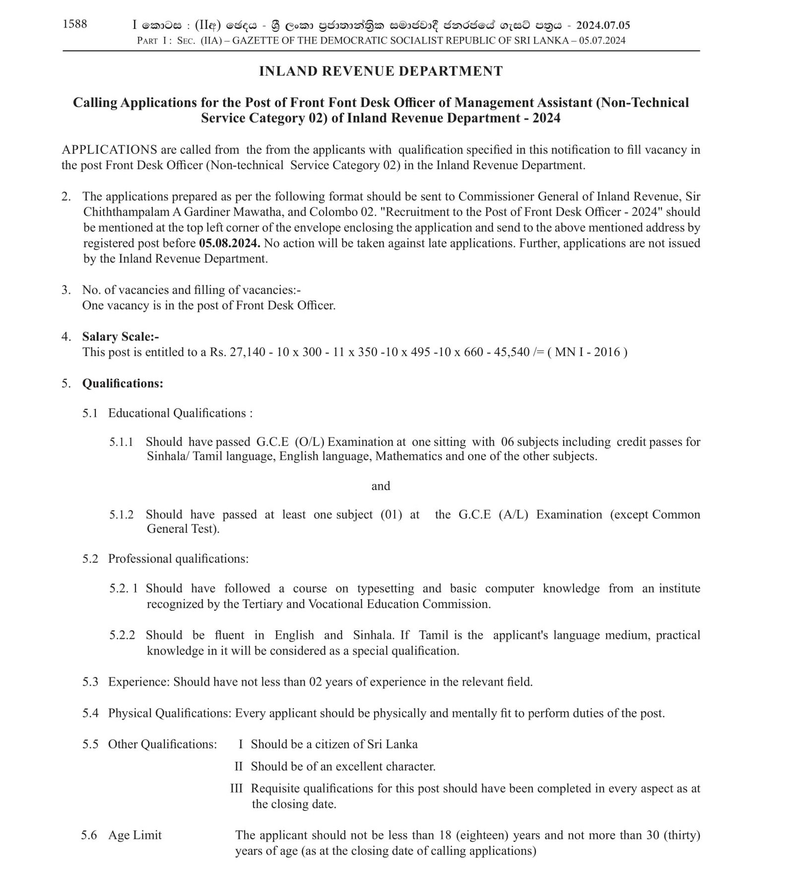
Post of Front Font Desk Officer of Management Assistant of Inland Revenue Department – 2024 July 17, 2024 ceylonvacancy APPLICATION 0 Post of Front Font Desk Officer of Management Assistant of Inland Revenue Department – 2024 APPLICATION FORM